Dați click pe imagine pentru fișierul PDF
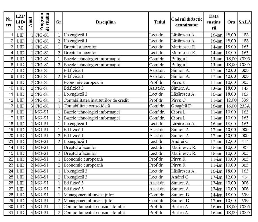
Planificarea colocviilor - Învățământ la distanță, Semestrul I, an universitar 2025 - 2025
de către Cristi Etegan-
Discută acest subiect (0 replici în total)
Facultatea de Economie şi Administrarea Afacerilor din cadrul Universității din Craiova este o instituţie cu tradiţie, a cărei misiune o reprezintă educarea tinerilor în domeniul economic. Programele de studii la ID sunt:Finanţe şi bănci,Contabilitate şi informatică de gestiune și Management. Portalul ID permite studenților FEAA să parcurgă materialele de curs, să încarce temele de casă și proiectele, să fie evaluați online pe parcursul anului universitar, să aibă acces la materiale video, prezentări, video-conferințe, cursuri live etc.